伟德国际1949(始于英国)官方网站-Officials Website
学校主页
ENGLISH
研究机构
学生
教职工
考生
首页
学院概况
学院简介
院长致辞
组织结构
现任领导
历任领导
联系我们
教育团队
行政管理系
城市管理系
土地管理系
博士后
行政人员
诚聘英才
招生教学
本科生
研究生
公共管理硕士(MPA)
咨询培训
学术研究
研究机构
学术要闻
学术动态
科研通知
研究项目
讲座信息
对外交流
外事新闻
外事通知
交流项目
申请指南
党群行政
党政要闻
党政通知
学院工会
工作流程
学院简报
媒体看学院
师生权益反映渠道
风晓学工
组织架构
学工要闻
工作制度
学生组织
学子风采
风晓通知
公示平台
伟德国际1949官方网站
专题专栏
项目申报
教学资料下载
常用文件下载
廿年院庆
二十周年
院友之家
招生教学
本科生
招生信息
教务信息
培养新闻
培养方案
规章制度
文件下载
教学课表
研究生
招生信息
教务信息
培养新闻
培养方案
规章制度
文件下载
教学课表
公共管理硕士(MPA)
招生信息
教务信息
培养新闻
培养方案
规章制度
文件下载
教学课表
咨询培训
新闻动态
培训通知
咨询服务
招生信息
当前位置:
首页
>
招生教学
>
公共管理硕士(MPA…
>
招生信息
> 正文
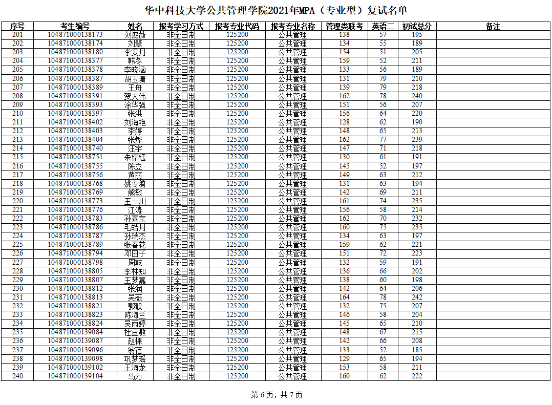
伟德国际1949始于英国2021年MPA(专业型)复试名单
作者: 来源: 时间:2021-03-23 09:50:06 点击:次